Math 276

Calculus III

Fall 2002

Dr. Constant J. Goutziers

Department of Mathematics, Computer Science and Statistics

goutzicj@oneonta.edu

Lesson 25

Applications of Green's Theorem

Initializations

>    restart;
with(linalg):
with(student):
with(plots):

Warning, the protected names norm and trace have been redefined and unprotected

Warning, the name changecoords has been redefined

25.1  Green's Theorem

Examples

Example 25.1.1
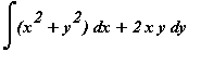
Evaluate the line integral
int((x^2+y^2)*dx+2*x*y,y) , where C is the boundary of the region in the first quadrant fenced by y = x^2 , y = 4  and x = 0   oriented in counterclockwise direction.  First evaluate the integral directly, then use Green's theorem.

To answer part a, we code the vector field, parametrize the boundaries and visualize the region.

>    F:=map(unapply, [x^2+y^2+1, 2*x+y], (x, y)); r1:=[t, t^2]; r2:=[t, 4]; r3:=[0, t];

F := [proc (x, y) options operator, arrow; x^2+y^2+1 end proc, proc (x, y) options operator, arrow; 2*x+y end proc]

r1 := [t, t^2]

r2 := [t, 4]

r3 := [0, t]

>    plot([[op(r1), t=0..2], [op(r2), t=2..0], [op(r3), t=4..0]], color=[red, blue, green], axes=frame);

[Maple Plot]

The integral is now readily evaluated.

>    e1:=Int(dotprod(F(r1[1], r1[2]), map(diff, r1, t), orthogonal), t=0..2)+Int(dotprod(F(r2[1], r2[2]), map(diff, r2, t), orthogonal), t=2..0)+Int(dotprod(F(r3[1], r3[2]), map(diff, r3, t), orthogonal), t=4..0);

e1 := Int(t^2+t^4+1+2*(2*t+t^2)*t,t = 0 .. 2)+Int(t^2+17,t = 2 .. 0)+Int(t,t = 4 .. 0)

>    answer:=value(e1);

answer := -224/15

As solution to part b, we apply Green's theorem.

>    a1:=Doubleint(diff(F(x, y)[2], x)-diff(F(x, y)[1], y), y=x^2..4, x=0..2);

a1 := Int(Int(2-2*y,y = x^2 .. 4),x = 0 .. 2)

>    check:=value(a1);

check := -224/15

>   

Example 25.1.2
If
F = [x^3*y, x^4+x*y^2] ,  compute  a decimal approximation for the integral int(`F.`,r)  along the positively oriented curve x^4+y^4 = 1 .

Code the vector field, the integration curve and make a picture.

>    F:=[x^3*y, x^4+x*y^2]; c:=x^4+y^4=1;

F := [x^3*y, x^4+x*y^2]

c := x^4+y^4 = 1

>    p1:=fieldplot(F, x=-1..1, y=-1..1, arrows=THICK, color=blue):

>    p2:=implicitplot(c, x=-1..1, y=-1..1, thickness=3):

>    display([p1, p2], scaling=constrained, axes=frame);

[Maple Plot]

Because it is non-trivial to parametrize this curve, Green's theorem provides a welcome alternative solution.

>    bnd:=solve(c, y);

bnd := (-x^4+1)^(1/4), (-x^4+1)^(1/4)*I, -(-x^4+1)^(1/4), -I*(-x^4+1)^(1/4)

>    e1:=Doubleint(diff(F[2], x)-diff(F[1], y), y=bnd[3]..bnd[1], x=-1..1);

e1 := Int(Int(3*x^3+y^2,y = -(-x^4+1)^(1/4) .. (-x^4+1)^(1/4)),x = -1 .. 1)

>    answer:=evalf(e1);

answer := 1.110720735

>   

Example 25.1.3
Compute the area of the region bounded by the closed curve
r = [cos(t)^3, sin(t)^5] , 0 <= t <= 1.

>    r:=[cos(t)^3, sin(t)^5];

r := [cos(t)^3, sin(t)^5]

>    plot([op(r), t=0..2*Pi]);

[Maple Plot]

We will use Green's theorem in reverse, with F  = [P, Q]  = [0, x]  to obtain that the area of this region equals int(int(1,x),y) = int(int(diff(Q,x),x),y)  = int(Q,y)  .  Where the latter denotes the line integral over the positively oriented boundary of the region.

>    Q:=(x, y)->x;

Q := proc (x, y) options operator, arrow; x end proc

>    e1:=Int(Q(r[1], r[2])*diff(r[2], t), t=0..2*Pi);

e1 := Int(5*cos(t)^4*sin(t)^4,t = 0 .. 2*Pi)

>    answer:=value(e1);

answer := 15/64*Pi

>    evalf(answer);

.7363107783

>