Math 174

Calculus II

Spring 2004

Dr. Constant J. Goutziers

Department of Mathematics, Computer Science and Statistics

goutzicj@oneonta.edu

Lesson 26

Series

Initializations

>    restart;

26.1  Series

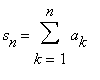
With every infinite series   S = sum(a[k],k = 1 .. infinity)  there are associated two sequences:

      1)  The sequence   {s[n]}   of the partial sums s[n] = sum(a[k],k = 1 .. n) .

      2)  The sequence   {a[k]}   of the individual terms.

Definition.

S converges if and only if the sequence of partial sums   {s[n]}   converges.

Theorem.

If  S converges then   limit(a[k],k = infinity) = 0 .

The theorem above will be proved in class and is usually applied to show that a sequence diverges.  If    limit(a[n],n = infinity)   does not exist or exits but is not equal to zero then the corresponding infinite sum must diverge.

Examples

Example 26.1.1
Examine for which values of r the geometric series:   
sum(r^n,n = 1 .. infinity)   converges.

In order to see under which circumstances this series converges we form the n-th partial sum and take the limit of this partial sum for n  -> infinity .

>    s[n]:=Sum(r^k, k=0..n);

s[n] := Sum(r^k,k = 0 .. n)

Warning:   s[n]  is an element of the Maple table with alphanumeric index  n.

                    s[n] is NOT a function of  n  in Maple sense !!!

                    Having used  s[n]  for the n-th partial sum, we will use  S  for the infinite sum.

>    S:=Limit(s[n], n=infinity);

S := Limit(Sum(r^k,k = 0 .. n),n = infinity)

>    S:=value(S);

S := limit(r^(n+1)/(r-1)-1/(r-1),n = infinity)

>    S:=simplify(S);

S := limit((r^(n+1)-1)/(r-1),n = infinity)

>   

Clearly this limit exist if and only if  -1 < r < 1.  

Maple 9 has a problem with this limit (even when the assume command is used to tell the system that -1 < r < 1).  Sorry!  we have to wait for the next release for this bug to be fixed.

Example 26.1.2
Does the series
sum((2/Pi)^n,n = 1 .. infinity)  converge?  Explain your answer.

>    S:=Sum((2/Pi)^n, n=1..infinity);

S := Sum((2/Pi)^n,n = 1 .. infinity)

This is a geometric series and according to the above it will converge because  -1 < 2/Pi  < 1.

>    r:=evalf(2/Pi);

r := .6366197722

>    S:=value(S);

S := 2/(-2+Pi)

>   

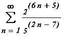
Example 26.1.3
Does the series
sum(2^(6*n+5)/(5^(2*n-7)),n = 1 .. infinity)    converge?

We will once again investigate the general term of the sequence.

>    S:=Sum(2^(6*n+5)/5^(2*n-7), n=1..infinity);

S := Sum(2^(6*n+5)/(5^(2*n-7)),n = 1 .. infinity)

>    a[n]:=op(1, S);

a[n] := 2^(6*n+5)/(5^(2*n-7))

>    simplify(evalf(a[n]));

exp(.9400072600*n+14.73180128)

Clearly this geometric series diverges because exp(.94)  > 1.

>    S:=value(S);

S := infinity

>   

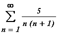
Example 26.1.4
Determine if the series  
sum(5/(n*(n+1)),n = 1 .. infinity)  converges.

Certain series converge because the terms or pieces thereoff cancel against each other.  The easiest way of discovering such behaviour is by applying partial fraction decomposition to the individual terms of the sequence.

>    S:=Sum(5/(n*(n+1)), n=1..infinity);

S := Sum(5/n/(n+1),n = 1 .. infinity)

>    s[n]:=Sum(5/(k*(k+1)), k=1..n);

s[n] := Sum(5/k/(k+1),k = 1 .. n)

>    a[n]:=op(1, S);

a[n] := 5/n/(n+1)

>    a[n]:=convert(a[n], parfrac, n);

a[n] := 5/n-5/(n+1)

For clarity we display six successive terms.

>    for m from 0 to 5 do

>    a[n+m]:=subs(n=n+m, a[n]);

>    od;

a[n] := 5/n-5/(n+1)

a[n+1] := 5/(n+1)-5/(n+2)

a[n+2] := 5/(n+2)-5/(n+3)

a[n+3] := 5/(n+3)-5/(n+4)

a[n+4] := 5/(n+4)-5/(n+5)

a[n+5] := 5/(n+5)-5/(n+6)

If we substitute  n = 1  in the above and sum the terms, then successive items will cancel and we obtain: s[6]  = a[1]+a[2]+a[3]+a[4]+a[5]+a[6]  = 5-5/7  = 30/7  .

>    s[6]:=value(subs(n=6, s[n]));

s[6] := 30/7

Similarly:   s[n] = a[1]+a[2]  + ... + a[n] = 5-5/(n+1)  .

>    s[n]:=value(s[n]);

s[n] := -5/(n+1)+5

Of course S must equal limit(s[n],n = infinity) .   Maple will readily acknowledge that identity.

>    evalb(limit(s[n], n=infinity)=value(S));

true

>   

Example 26.1.5
Show that  
sum((n^2+5)/(3*n^2+11),n = 1 .. infinity)   diverges.

>    S:=Sum((n^2+5)/(3*n^2+11), n=1..infinity);

S := Sum((n^2+5)/(3*n^2+11),n = 1 .. infinity)

>    a[n]:=op(1, S);

a[n] := (n^2+5)/(3*n^2+11)

>    L:=limit(a[n], n=infinity);

L := 1/3

This means of course that S  diverges, which is easily verified by the system.

>    S:=value(S);

S := infinity

>